买卖股票的最佳时机
题目
给定一个数组,它的第 i 个元素是一支给定股票第 i 天的价格。
如果你最多只允许完成一笔交易(即买入和卖出一支股票),设计一个算法来计算你所能获取的最大利润。
注意你不能在买入股票前卖出股票。
示例 1:
输入: [7,1,5,3,6,4] 输出: 5 解释: 在第 2 天(股票价格 = 1)的时候买入,在第 5 天(股票价格 = 6)的时候卖出,最大利润 = 6-1 = 5 。 注意利润不能是 7-1 = 6, 因为卖出价格需要大于买入价格。示例 2:
输入: [7,6,4,3,1] 输出: 0 解释: 在这种情况下, 没有交易完成, 所以最大利润为 0。
穷举法
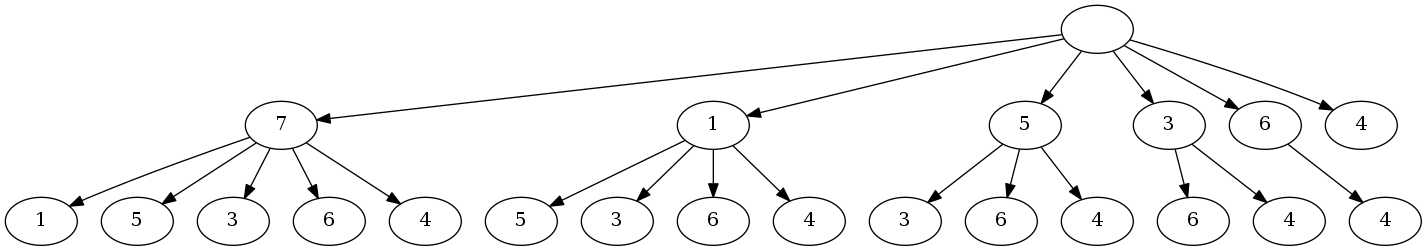
买卖有一买一卖组成,卖出价与买入价之间的差值即为利润。穷举法就是罗列所有买入价和卖出价之间的组合,再算出利润,取其中最大的利润。
举个例子,给定价格序列[7,1,5,3,6,4]。买入价有六种选择。用树表示就是第1层(根节点为第0层)有六个子节点。卖出价的选则受买入点影响。比如,当在第一天买入时,可选的卖出点只能是第二天及以后;当在第二天买入时,可选的卖出点只能是第三天及以后;以此类推。

代码
首先,选取买入价。任意一个价格都可以作为买价。使用for loop遍历所有价格作为买入价。

卖出动作必需要在买入之后,所以针对不同的买入点,可选的买出点是不同的。比如,当买入点为第一天,则只能在第二天及以后的某一卖出。使用for loop遍历买入点之后的每一天。两层for loop就罗列出了所有的买入/卖出组合,再计算每一个买入/卖出组合产成的利润,留下最大的即是所有求解。


复杂度分析
时间复杂度
两层for loop共产生了次循环。时间复杂度为
空间复杂度
只使用了两个变量maxProfit和profit。空间复杂度为
一次遍历
假设有两个买卖组合和,如果且,则利润。所以可以直接排除买入价大于之前买入价的组合。以树表示,就是如果第二层节点的值(买入价)大于同层左边任一节点的值,则以其为买入点的组合产生的利润绝不会是最大利润。(其左边的节点的子节点值的集合包含了右边节点的子节点值的集合。)

再来看第二层「卖出价」。如果卖出价比卖入价小,则其利润为负,且该值价以买入价的身份出现在第一层。且后续值都会以另一个更小的买入的卖出价出现。比如,以7为买入价,卖出价选择有[1, 5, 3, 6, 4]。卖出价1比买入价7小,则后续[5, 3, 6, 4]会以卖出价出现在以1为买入价的组合中。「当卖出价相等时,买入价小的组合其利润一定大于买入价大的组合。」所以,就无需计算后续以7为买入价的组合了。

可以看出,每个值都只被访问了一次。所以,两层循环可以合併成一层循环。
代码
用一次for loop遍历所有价格。同时寻找目前为止最低价和最大利润。
若最低价在最高价之间出现的情况下,当遍历到最高价时,minBuyPrice保存的是最低价。计算出来的价差就是最大利润。
若最低价出现在最高价之后,则当遍历到最高价时,minBuyPrice保存的是最高之前的局部最低价;当遍历到最低价之后的局部最高价时,minBuyPrice保存的是全局最低价。
所以,一次for loop一定遍历了三个必然包含最大利润的组合,再从中取出最大值即为全局最大利润。


复杂度分析
时间复杂度
总共就一次for loop,所以时间复杂度为
空间复杂度
使手了两个变量maxProfit和minBuyPrice。空间复杂度为